Skip to content
  • 0 Votes
    3 Posts
    1k Views
    zareenZ
    @zareen said in CS311 Assignment 1 Solution and Discussion: Q. Create an internal DTD and XML Document for the XML tree drawn below. DTD (10 marks) XML Document (10 marks) Solution DTD: <?xml version="1.0" encoding="UTF-8"?> <!DOCTYPE league [ <!ELEMENT league (franchise)> <!ATTLIST league name CDATA #REQUIRED> <!ATTLIST league year CDATA #REQUIRED> <!ELEMENT franchise (team+)> <!ATTLIST franchise name CDATA #REQUIRED> <!ATTLIST franchise owner CDATA #REQUIRED> <!ATTLIST franchise city CDATA #REQUIRED> <!ELEMENT team (win,losses,coach,player+)> <!ELEMENT win (#PCDATA)> <!ELEMENT losses (#PCDATA)> <!ELEMENT coach (#PCDATA)> <!ELEMENT player (name,age,runs,matches)> <!ELEMENT name (#PCDATA)> <!ELEMENT age (#PCDATA)> <!ELEMENT matches (#PCDATA)> <!ELEMENT runs (#PCDATA)> ]> XML: <?xml version="1.0" encoding="UTF-8"?> <league year="" name=""> <franchise owner="" name="" city=""> <team> <wins></wins> <losses></losses> <coach></coach> <player> <name></name> <age></age> <matches></matches> <runs></runs> </player> </team> </franchise> </league>
  • 0 Votes
    4 Posts
    2k Views
    zareenZ
    Solution: [image: gSSeaWy.png]
  • 0 Votes
    5 Posts
    2k Views
    zareenZ
    @zareen [image: aNPPMJQ.png]
  • 0 Votes
    2 Posts
    2k Views
    zaasmiZ
    https://www.youtube.com/watch?v=mD8NqAsPI3Y
  • 0 Votes
    7 Posts
    2k Views
    zareenZ
    @zareen said in CS620 Assignment 1 Solution and Discussion: Question 2: How can do make a discrete event simulation in excel? 15. I. Introduction to Discrete-Event System Simulation. Chapter 1 Introduction to Simulation … Simulation models designed for training make learning possible without the … The second rule says that simulation should not be used if the problem can … 2. 9. 1 1. I. 15. 15. 4. Table 2.5 Chronological Ordering of Events. Event Type. link text
  • 0 Votes
    18 Posts
    10k Views
    zaasmiZ
    [image: 1573816412668-f80b5865-1ed4-401e-881a-244a18ba831f-image.png]
  • 0 Votes
    4 Posts
    2k Views
    zareenZ
    https://youtu.be/XJPZs_t2xdg
  • 0 Votes
    1 Posts
    1k Views
    No one has replied
  • 0 Votes
    3 Posts
    661 Views
    zareenZ
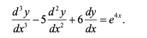
    @zareen said in MTH701 Assignment 1 Solution and Discussion: Solve the given differential equation by method of variation of parameters. https://www.youtube.com/watch?v=Q_4cDw1ipLs
  • 0 Votes
    7 Posts
    2k Views
    mehwishM
    https://youtu.be/BwJC7WOp_Xg
  • 0 Votes
    5 Posts
    1k Views
    zareenZ
    Q.1 Solution [image: FgVDP31.png] Q.2 Solution [image: FEudPWa.png]
  • 0 Votes
    4 Posts
    471 Views
    zareenZ
    Solution of Assignment # 1 MTH304 (Fall 2019) Maximum Marks: 20 Due Date: 17 -11-2019 Question No. 1: A particle of mass 10kg is placed on an inclined plane which makes and angle of with the horizontal. Find the resolved parts of the weight of the particle in the direction parallel and perpendicular to the plane. MARKS 10 Solution [image: 5qf1wpd.png] Question No. 2: Two particles of mass 3kg each are connected by a light inextensible string which passes over a smooth fixed pulley, which is attached to a string C. The string C is hanging on the fixed support. The particles are at rest. Find the tension in the string C. MARKS 10 Solution [image: mUa2C4I.png]
  • 0 Votes
    7 Posts
    3k Views
    cyberianC
    @fatima-batool please post assignment
  • 0 Votes
    3 Posts
    986 Views
    zareenZ
    Q. 1 Solution: Starting from lower side of circuit network, we can see that 2Ω and 2Ω are in series, so their combined effect is 2+2=4Ω [image: lfQL20V.png] This 4Ω is in parallel of 4Ω to lower side, so their equivalent is [image: LscVakS.png] [image: 7WeFVMO.png] This 2Ω is in series of 5Ω and 1Ω, so the sum of series resistances is 2Ω+ 5Ω+1Ω=8Ω [image: 0SX12Sg.png] Now at upper side, 4Ω and 2Ω are in series 4Ω+ 2Ω=6Ω [image: 7VE1yYt.png] This 6Ω is in parallel of 6Ω, so their equivalent is [image: MPO7UBq.png] [image: RaGW8hK.png] This 3Ω is in series of 3Ω and 1Ω, so the sum of series is 3Ω+ 3Ω+1Ω=7Ω [image: URCiEIC.png] Now we can see 7Ω becomes in series of 8Ω, so equivalent resistance is Req =7Ω + 8Ω Req=15Ω Q.2 Solution: 1) To calculate the source current Is, Firstly, we calculate the total resistance RT= R1+R2+R3 =6Ω V=IR IS=VS/RT = 12/6 =2A 2) Since all resistances are in series, same 2A current pass through each resistance. V1= R1IS =12 =2V V2=R2Is =22 =4V V3=R3IS = 32 =6V 3) P1 =I2R1 = (2)2 *1 =4W P2 =I2R2 = (2)2 *2 = 8W P3 =I2R3 =(2)2 *3 = 12W = 12W 4)- Ps = VsIs P =122 =24 W PT=P1+P2+P3 or PT=I2RT =4+8+12 =24 W
  • 0 Votes
    5 Posts
    3k Views
    zaasmiZ
    @maryum said in MGT611 Assignment 1 Solution and Discussion: mgt 611 assignment solution idea fall 2020 last 14 dec 2020 a) Asim agreed to construct a bungalow for Ali at Rs. 50 million. However, it was agreed that payment would only be made upon completion of the project. State with reasons whether this contract can be treated as a contingent contract under the Contract Act, 1872. Also, list down characteristics of a contingent contract. b) Sohail and Afaq lent Rs. 20 million to Mohsin, Laila, and Faizan jointly for their business firm for 1 year. On the due date, the firm becomes insolvent. Without sharing this fact with Sohail and discussing the recovery issues, Afaq contacts Mohsin to repay the full amount to him only. Under the provisions of Contract Act, 1872: (a) Whether Mohsin can be compelled to pay the full amount to Afaq; and (b) What rights are available to Mohsin, if he repays the full amount? c) Maimar promised to manufacture and deliver unspecified remote-controlled toy helicopters to Nasir in the first week of November, 2020. Nasir, in turn, promised to pay for them by the second week of the same month. However, Maimar could not deliver the toys at all. Should Nasir keep his promise and what remedy, if any, is available to him? d) Bader, the city’s famous businessman had lost his expensive pet horse three days ago. He had also sent Aftab, one of his employees to search the horse. Now, Bader has also advertised a reward of Rs. 20,000 in a local newspaper for anyone who finds his missing horse. Aftab, unaware of the advertisement, traced the horse and handed it over to Badar. Later, on knowing about the reward, Aftab claimed it from Bader. Under the related provisions of the Contract Act, 1872, identify the type of offer made by Bader. Also, state whether Aftab would be able to claim the amount of reward. a) Asim agreed to construct a bungalow for Ali at Rs. 50 million. However, it was agreed that payment would only be made upon completion of the project. State with reasons whether this contract can be treated as a contingent contract under the Contract Act, 1872. Also, list down characteristics of a contingent contract. b) Sohail and Afaq lent Rs. 20 million to Mohsin, Laila, and Faizan jointly for their business firm for 1 year. On the due date, the firm becomes insolvent. Without sharing this fact with Sohail and discussing the recovery issues, Afaq contacts Mohsin to repay the full amount to him only. Under the provisions of Contract Act, 1872: a) Whether Mohsin can be compelled to pay the full amount to Afaq; and b) What rights are available to Mohsin, if he repays the full amount? c) Maimar promised to manufacture and deliver unspecified remote-controlled toy helicopters to Nasir in the first week of November, 2020. Nasir, in turn, promised to pay for them by the second week of the same month. However, Maimar could not deliver the toys at all. Should Nasir keep his promise and what remedy, if any, is available to him? d) Bader, the city’s famous businessman had lost his expensive pet horse three days ago. He had also sent Aftab, one of his employees to search the horse. Now, Bader has also advertised a reward of Rs. 20,000 in a local newspaper for anyone who finds his missing horse. Aftab, unaware of the advertisement, traced the horse and handed it over to Badar. Later, on knowing about the reward, Aftab claimed it from Bader. Under the related provisions of the Contract Act, 1872, identity the type of otter made by Bader. Also, state whether Aftab would be able to claim the amount of reward. Section 31 of the Contract Act No, this is not a contingent contract as the condition i.e. construction of a bungalow is not collateral to the contract; but in itself forms a consideration and is thus an integral part of the contract. Essentials of a contingent contract The following are the essential characteristics of a contingent contract: the performance of such a contract depends upon the happening or non-happening of some future event; the event must be uncertain; the event must be collateral i.e, incidental to the contract. b) Sohail and Afaq lent Rs. 20 million to Mohsin, Laila, and Faizan jointly for their business firm for 1 year. On the due date, the firm becomes insolvent. Without sharing this fact with Sohail and discussing the recovery issues, Afaq contacts Mohsin to repay the full amount to him only. Under the provisions of Contract Act, 1872: (a) Whether Mohsin can be compelled to pay the full amount to Afaq; and (b) What rights are available to Mohsin, if he repays the full amount? Section 43 and 44 of the Contract Act (a) Afaq alone cannot compel Mohsin to make payment unless a contrary intention appears from the contract. The right to claim performance rests with all the promises jointly and a single promise cannot demand performance. (b) Mohsin may compel every other joint promisor to contribute equally with himself to the performance of the promise, unless a contrary intention appears from the contract. Therefore, Faizan must share the loss arising from default of Laila equally with Mohsin. Maimar promised to manufacture and deliver unspecified remote-controlled toy helicopters to Nasir in the first week of November, 2020. Nasir, in turn, promised to pay for them by the second week of the same month. However, Maimar could not deliver the toys at all. Should Nasir keep his promise and what remedy, if any, is available to him? Solution: Section 54 of the Contract Act No, Nasir need not perform his promise to pay and Maimar must compensate Nasir for any loss which Nasir may sustain due to Maimar’s non-performance. (d) Bader, the city’s famous businessman had lost his expensive pet horse three days ago. He had also sent Aftab, one of his employees to search the horse. Now, Bader has also advertised a reward of Rs. 20,000 in a local newspaper for anyone who finds his missing horse. Aftab, unaware of the advertisement, traced the horse and handed it over to Badar. Later, on knowing about the reward, Aftab claimed it from Bader. Under the related provisions of the Contract Act, 1872, identify the type of offer made by Bader. Also, state whether Aftab would be able to claim the amount of reward. Under the provisions of the Contract Act, 1872 This is a valid contract. Because according to the Scope of Contract under sec. 2(h) and the Proposal or Offer base on the following. The offer must be communicated to the other party. According to section 4 of the Act, the communication of a proposal is complete when it comes to the knowledge of the person to whom it is made. The terms of the offer must be definite and clear The offer must be capable of creating legal relationships. The offer must be made to obtain acceptance. An invitation to receive an offer is not an offer. Yes, Aftab would be able to claim the amount of reward under the circumstances because he has evidence in the newspapers form and he can easily claim about Bader so this contract imposed by enforceable by law.
  • 0 Votes
    3 Posts
    363 Views
    zareenZ
    Solution: Note: This is only solution making idea, not a complete solution. The Role played by the Mass Media in the Sub-Continent Mass media, especially print media, which was introduced by the British rulers in sub-continent. In the beginning, its role was limited and news were only available to the British employees from the rulers. But with the passage of time, people started English and Urdu publications. Newspapers highlighted the rough treatment of the British rulers and people become aware of the outrages. The Urdu press played its vigorous role in sub-continent and first Urdu newspaper was Jam-e- Jahan Numa by Maulana Muhammad Hussain Azad. In 1830, British rulers declared Urdu as official language in some government institutions, this act give the boom to Urdu print media. Sir Syed Ahmed Khan, who take initiative regarding to educate the people with modern education to stand against the British rulers. In 1971 Crisis, what do you think, a restricted/controlled Pakistani media was one of the reasons for the one sided projection of the situation and deteriorating the situation in the country People from both sides were uninformed of the situations, resources were taken by East Pakistan and at that time, no media coverage was done. Liaqat Ali Khan was murdered and Khawaja Nazimuddin was dismissed. Bhutto won the elections from the East Pakistan. Due to the lack of leadership in West Pakistan, the situation continued to weaken with the people of East Pakistan, which resulted in the Bengali’s starting a liberation movement by the name of Mukti Bahni. India along with its media conspired and fully supported the notion of an independent East Pakistan. In all these miserable circumstances the newspapers never gave a true picture to the people of Pakistan. Pakistanis were deprived of their right to know and ultimately they were not able to express their rights. By knowing the correct information people would have been able to take a stand, but unfortunately that was denied to the Pakistanis and the common man remained. Newspapers were under strict observation and no journalist was permitted to write about the situation in East Pakistan, to keep the people blind of the situation. People’s right to know was an unacceptable thing to the government at that time. PPO was revived again and used against the press by the new government.
Reputation Earning
How to Build a $1,000/Month World CUP LIVE Matches Live Cricket Streaming
Ads
File Sharing
Stats

0

Online

3.0k

Users

2.8k

Topics

8.6k

Posts
Popular Tags
Online User
| |