Skip to content
  • 0 Votes
    1 Posts
    438 Views
    No one has replied
  • 0 Votes
    4 Posts
    8k Views
    zareenZ
    The insensitivity of the solution relative to the original decision variables in an LP problem which is solved by M-method is overcome by ----------. MTH601 Simplex method In Big M-method, if the objective function is expressed in terms of non-basic variable then the coefficient of artificial variable in this iteration must be -------. MTH601 M In two phase method, for the phase-I, if the objective function in terms of artificial variables is not minimized then the given problem has----------. MTH601 Feasible solution In the initial iteration of Big M-method, the artificial variables appear in ---------. MTH601 Basis In two phase method, which of the following will be taken as starting solution for 2nd phase? MTH601 Basic solution of 1st phase containing non-zero artificial variables In the Simplex method to solve an LP problem of minimization, if at the end of iteration, there is a positive coefficient in the objective row then the given problem -------------. MTH601 can not be optimized In the Simplex method to solve an LP problem of maximization, if at the end of an iteration, there is a negative coefficient in the objective row then the given problem---------. MTH601 needs further improvement In an LP problem, to evaluate the basic variables in Simplex method in any iteration, we would have to express Objective function in terms of ------------- variables. MTH601 Artificial Which of the following is true about the inclusion of non-negative slack variable into a constraint of type ‘less than or equal’? MTH601 This inclusion doest not affect the inequality Under which of the following condition to solve an LP by using two phase method, we can’t proceed for 2nd phase? MTH601 Objective function of 1st phase has zero value.
  • 1 Votes
    1 Posts
    475 Views
    No one has replied
  • 0 Votes
    11 Posts
    3k Views
    zareenZ
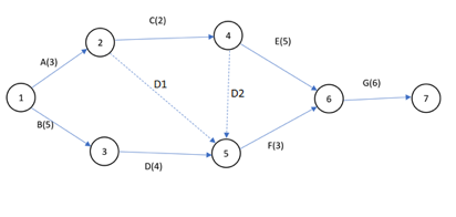
    @zaasmi 3. Calculate the total float for each activity. Correct Solution Answer: [image: M9X6s5P.png] Identify the critical path. Answer: A+C+E+G = 3+2+5+6 = 16 A+D1+F+G = 3+0+3+6 = 12 B+D+F+G = 5+4+3+6 = 18 A+C+D2+F+G = 3+2+0+3+6 = 14 The longest path is and the duration is 18 days. So, the critical path is . Find the project completion time. Answer: The project completion time is 18 days.
  • 0 Votes
    28 Posts
    20k Views
    zareenZ
    The objective of a transportation problem is to develop an ----------- transportation schedule that meets all demand from given stock at a ------- total shipping cost. MTH601 (integral, maximum)
  • 0 Votes
    4 Posts
    3k Views
    zareenZ
    How the problem of the degeneracy arises in a transportation problem? Define the followings in Queuing Theory. a. Customer b. Server c. Priority What are the variants of the simplex method? Write few lines about the followings. (a) Unbounded solution. (b) Unrestricted variables Five different machines can process any of the five required jobs with different profits resulting from each assignment. Find the maximum profit possible through optimum assignments How can the linear programming be applied to management problem? Consider the transportation problem having the following parameter table. Use the northwest corner rule to obtain an initial basic feasible solution
  • 0 Votes
    20 Posts
    13k Views
    cyberianC
    @Zain-Sports please ready discussion and get solution not only for get it easy!
Reputation Earning
How to Build a $1,000/Month World CUP LIVE Matches Live Cricket Streaming
Ads
File Sharing
Stats

0

Online

3.1k

Users

2.8k

Topics

8.6k

Posts
Popular Tags
Online User
| |